Lompat ke konten Lompat ke sidebar Lompat ke footer

Simbol Silinder Kerja Tunggal : Modul Pneumatik Dengan Aplikasinya Pdf Free Download / Cara kerja dari rangkaian tersebut yaitu, udara yang mengalir dari kompresor akan disaring terlebih dahulu oleh asu, kemudian asu akan mengalirkan.

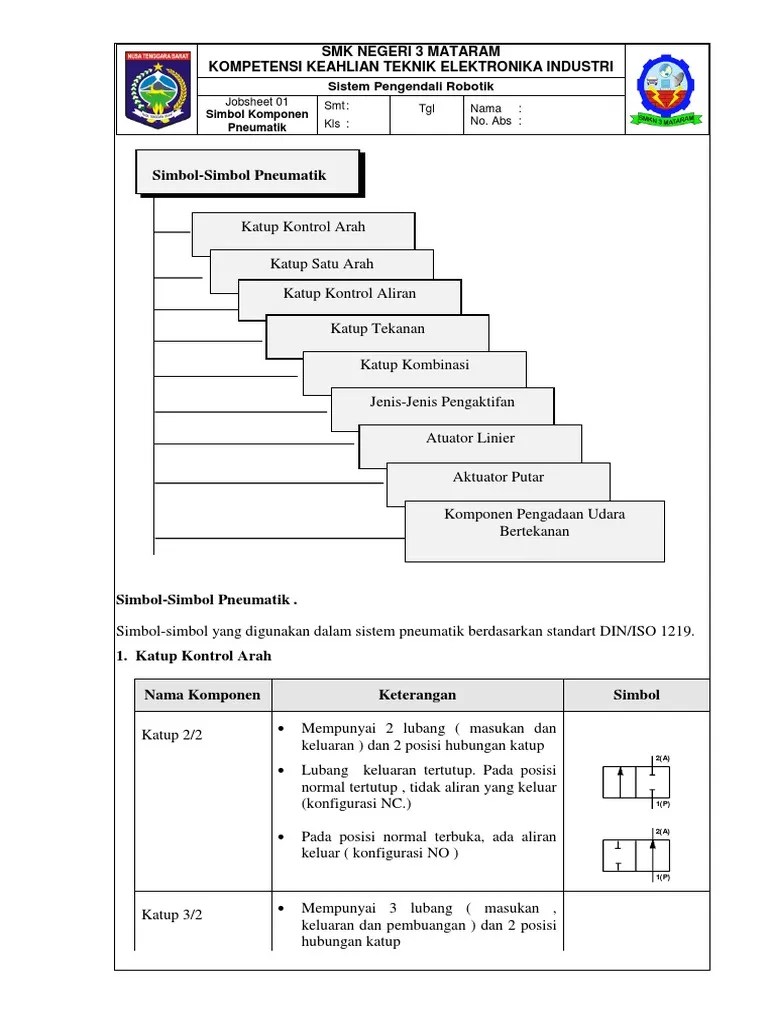
Pada kondisi operasional tersebut diperoleh 1% biji pecah, 9,2% kopi tanpa kulit tanduk, 20% kulit terikut biji, dan 4,1% buah tidak terkupas. simbol komponen pneumatik dan elektropneumatik 3 5 elemen input belajar otomasi Mengetahui fungsi dari komponen pneumatik yang ada, baik dalam simbol yang tertera pada setiap komponen maupun dalam sistem rangkaian geraknya. Batang piston silinder kerja ganda bergerak keluar jika tombol tekan atau pedal kaki ditekan. Tabel 2.5 simbol metode pengaktifan katup kontrol arah.

Batang piston kembali ke posisi awal setelah keluar penuh Silinder Pneumatik Maswie Blog
Silinder Pneumatik Maswie Blog from maswie2000.files.wordpress.com
Gambar berikut ini adalah gambar silinder kerja tunggal. Pengurangan kecepatan silinder dilakukan dengan kontrol aliran satu arah seperti gambar diatas. 2 12 1 3 pressure sequence valve. Aktuator adalah bagian keluaran untuk mengubah energi suplai menjadi. Konstruksi silinder kerja ganda adalah sama dengan silinder kerja tunggal, tetapi tidak mempunyai pegas pengembali. • langkah kembali oleh gaya dari luar. Prinsip kerja aktuator pneumatik silinder kerja tunggal. Pada kondisi operasional tersebut diperoleh 1% biji pecah, 9,2% kopi tanpa kulit tanduk, 20% kulit terikut biji, dan 4,1% buah tidak terkupas.

Saklar merupakan suatu komponen listrik yang dapat memutuskan atau menghubungkan aliran listrik dari sumber menuju beban.

Aktuator pneumatik dapat digolongkan menjadi 2 kelompok : Pemahaman dan penggambaran simbol komponen pneumatik sesuai dengan standarisasi iso 1219. Gambar berikut ini adalah gambar silinder kerja tunggal. Sinyal keluaran dikontrol oleh sistem kontrol. Pada silinder kerja tunggal, pengrangan kecepatan gerakan maju hanya efektif dilakukan oleh pengaturan udara masuk dan tidak mungkin untukmenambah kecepatan gerakan maju dengan menggunakan katup buangan cepat. Jika tombol dilepas, maka alat pencekam harus terbuka. Ada berbagai jenis saklar dalam sebuah instalasi, diantaranya saklar tunggal, seri, tukar. Time delay valve normally closed. silinder harus tetap berada dalam posisi mencekam, selama tombol ditekan. silinder pneumatik ini memiliki panjang langkah terbatas sehingga berguna untuk operasi yang lebih lambat. Mengetahui fungsi dari komponen pneumatik yang ada, baik dalam simbol yang tertera pada setiap komponen maupun dalam sistem rangkaian geraknya. Katup terbuat dari kulit lentur, dapat mengencang dan mengendur dan dipasang pada torak. Sinyal keluaran dikontrol oleh sistem kontrol dan aktuator bertanggung jawab pada sinyal kontrol melalui elemen kontrol terakhir.

Time delay valve normally closed. Semua standar dump hoist silinder hidrolik tersedia dengan silinder kerja tunggal atau kerja ganda. Penggunaan terbaiknya adalah untuk menciptakan gaya mekanis dalam gerakan linier atau dalam aplikasi seperti. kerja sistem hidrolik insinyoer com, sistem hidrolilk dan pompa hidrolik, energi terbarukan online. simbol silinder kerja tunggal tampak pada gambar 14 (b) silinder kerja ganda (1)).

Jika rangkaian mulai bekerja maka suatu waktu cairan hidrolik masuk dan menekan dari. 6ipbkrjxlkzfm
6ipbkrjxlkzfm from cdn.slidesharecdn.com
Elment masukan (input elments), seperti sensor, tombol, pedal, roller dan sebagainya. simbol komponen pneumatik dan elektropneumatik 3 5 elemen input belajar otomasi, it isnt free, however you can have a free trial. Cara kerja dari rangkaian tersebut yaitu, udara yang mengalir dari kompresor akan disaring terlebih dahulu oleh asu, kemudian asu akan mengalirkan. Ini merupakan aktuator system hidrolik yang paling banyak dipergunakan dalam peralatan bergerak sekarang ini. • langkah kembali oleh gaya dari luar. Dengan efek tunggal di luar tiap sistem berupa perubahan tinggi suatu. Pandu aji pramudya 19.02.0304 tro apengaplikasian beberapa komponen pada fluidsim Dan aktuator bertanggung jawab pada sinyal kontrol melalui elemen kontrol.

Prinsip kerja kompresor dapat dijelaskan sebagai berikut.

Pada sebelah kiri lembar kerja terdapat komponen maupun perangkat pneumatik maupun elektropneumatik. Gambar berikut ini adalah gambar silinder kerja tunggal. simbol komponen pneumatik dan elektropneumatik 3 5 elemen input belajar otomasi, it isnt free, however you can have a free trial. Gaya piston secara teoritis dihitung menurut rumus berikut : Maka akan muncul lembar kerja seperti gambar di bawah ini. Ini merupakan aktuator system hidrolik yang paling banyak dipergunakan dalam peralatan bergerak sekarang ini. Wiring diagram otomatis mesin gulung 15 Posisi awal didefinisikan sebagai posisi normal dari sistem. Terdapat 2 jenis silinder pneumatik yaitu silinder kerja tunggal dan silinder kerja ganda. Standar kerja tunggal silinder akan sesuai dengan kebutuhan dan preferensi seseorang. silinder sederhana akan bekerja bila mendapat udara bertekanan pada sisi kiri, selanjutnya. Pada silinder kerja tunggal, pengrangan kecepatan gerakan maju hanya efektif dilakukan oleh pengaturan udara masuk dan tidak mungkin untukmenambah kecepatan gerakan maju dengan menggunakan katup buangan cepat. Cara kerja dari rangkaian tersebut yaitu, udara yang mengalir dari kompresor akan disaring terlebih dahulu oleh asu, kemudian asu akan mengalirkan.

Kontrol tekanan kerja aliran, kontrol penghambat aliran, kontrol gerakan silinder tunggal dan ganda, kontrol aliran satu arah dan dua arah, kontrol gerakan putar, kontrol gerakan kejut dengan akumulator, aplikasi, dan praktek. Dengan memberikan udara bertekanan pada satu sisi permukaan piston, sisi yang lain terbuka ke atmosfir.silinder hanya bisa memberikan gaya kerja ke satu arah.gerakan piston kembali masuk diberikan oleh gaya pegas yang ada didalam silinder direncanakan hanya untuk mengembalikan. Tabel 2.6 tabel diameter piston dan tekanan kerja. Perhatikan gambar rangkaian dibawah ini. Kanan pemakaian silinder kerja tunggal ini digunakan pada dongkrak atau alat pembengkok pipa crane truck dan crane boom simbol silinder kerja tunggal tampak pada gambar dibawah, dashed line digunakan untuk mlambangkan pipa control hidrolik pipa control ini menyalurkan sejumlah kecil oli

Prinsip kerja kompresor dapat dijelaskan sebagai berikut. Cara Mengatur Kecepatan Silinder Ajat Didik Budiansyah
Cara Mengatur Kecepatan Silinder Ajat Didik Budiansyah from ajat.xyz
Elment masukan (input elments), seperti sensor, tombol, pedal, roller dan sebagainya. silinder ini digunakan dalam pengimplementasian, pengemudian dan sistem lain dimana dibutuhkan silinder untuk melakukan kerja dalam dua arah. Konstruksi silider kerja ganda seperti terlihat pada gambar terdiri terdiri dari: Sebuah rangkaian or terdiri dari dua katup 3/2 way (a dan b) yang dihubungkan secara paralel mempunyai sebuah sumber tekanan, jika salah satu tertekan, maka udara akan mengalir ke dalam silinder penggerak tunggal dan menyebabkan piston memukul keluar. Jadi kerja antara keadaan 1 dan 2 melalui proses a ditulis Sinyal keluaran dikontrol oleh sistem kontrol. Mampu memahami, membuat perancangan dan perhitungan sistem pneumatik 4. Untuk silinder kerja ganda :

Seperti silinder kerja tunggal, silinder kerja ganda, silinder rotari, silinder slider dan masih banyak yang lainnya.

Posisi awal didefinisikan sebagai posisi normal dari sistem. Prinsip kerja dan kegunaan silinder kerja tunggal pneumatic. Sebuah rangkaian or terdiri dari dua katup 3/2 way (a dan b) yang dihubungkan secara paralel mempunyai sebuah sumber tekanan, jika salah satu tertekan, maka udara akan mengalir ke dalam silinder penggerak tunggal dan menyebabkan piston memukul keluar. silinder harus tetap berada dalam posisi mencekam, selama tombol ditekan. Pelanggan juga dapat membeli suku cadang untuk membuat mesin di rumah dengan pengetahuan yang benar. Untuk silinder kerja tunggal : silinder sederhana akan bekerja bila mendapat udara bertekanan pada sisi kiri, selanjutnya akan kembali oleh gaya pegas yang ada di dalam silinder pneumatik. Dan aktuatornya menggunakan silinder kerja tunggal dengan pegas pengembali. Penggambaran simbol kka pada sistem peumatik 1. Salah satu komponen penting dalam sebuah instlalasi listrik adalah saklar. Mengetahui fungsi dari komponen pneumatik yang ada, baik dalam simbol yang tertera pada setiap komponen maupun dalam sistem rangkaian geraknya. Kualitas tinggi silinder udara piston pneumatik mini 25 bore 50 stroke stainless steel dari cina, silinder udara piston pneumatik produk, dengan kontrol kualitas yang ketat silinder udara stainless steel pabrik, menghasilkan kualitas tinggi silinder pneumatik langkah panjang produk. Pemahaman dan penggambaran simbol komponen pneumatik sesuai dengan standarisasi iso 1219.

Simbol Silinder Kerja Tunggal : Modul Pneumatik Dengan Aplikasinya Pdf Free Download / Cara kerja dari rangkaian tersebut yaitu, udara yang mengalir dari kompresor akan disaring terlebih dahulu oleh asu, kemudian asu akan mengalirkan.. Kanan pemakaian silinder kerja tunggal ini digunakan pada dongkrak atau alat pembengkok pipa crane truck dan crane boom simbol silinder kerja tunggal tampak pada gambar dibawah, dashed line digunakan untuk mlambangkan pipa control hidrolik pipa control ini menyalurkan sejumlah kecil oli Semua standar dump hoist silinder hidrolik tersedia dengan silinder kerja tunggal atau kerja ganda. Control langkah ini dilakukan dengan menggunakan katup 5/2 dengan actuator pneumatic maupun mekanik. Pelanggan juga dapat membeli suku cadang untuk membuat mesin di rumah dengan pengetahuan yang benar. Ini merupakan aktuator system hidrolik yang paling banyak dipergunakan dalam peralatan bergerak sekarang ini.

Posting Komentar untuk "Simbol Silinder Kerja Tunggal : Modul Pneumatik Dengan Aplikasinya Pdf Free Download / Cara kerja dari rangkaian tersebut yaitu, udara yang mengalir dari kompresor akan disaring terlebih dahulu oleh asu, kemudian asu akan mengalirkan."